Antibodies to Public Antigens: NGHA Experience

This is an update of a presentation I gave while working as Head of Transfusion Medicine for Saudi Arabian National Guard Affairs, King Abdulaziz Medical City at Riyadh. I used this strategy there and later at HMC Doha.

Fortunately we had access to rare antisera such as anti-Tja (anti-PP1Pk) which we could purchase from Diamed AG and its successor Biorad. I emphasize that we only sparingly used these rare antisera AFTER ruling out more common high-incidence antibodies.

Teaching Document: Irradiating RBCs from Outside Transfusion Medicine

This is a teaching document of a process to irradiate RBC components when our irradiators are not functioning.  In our system, we used Mirasol pathogen-inactivation so our RBC units were affected.  The number of units for advance irradiation was based on our historical usage of irradiated units across our system.  The workweek is Sunday-Thursday so on Thursday special effort was made to have the minimum number of irradiated units available.

We used irradiated units for compatibility testing to avoid the possibility that the unit would be released without irradiation.

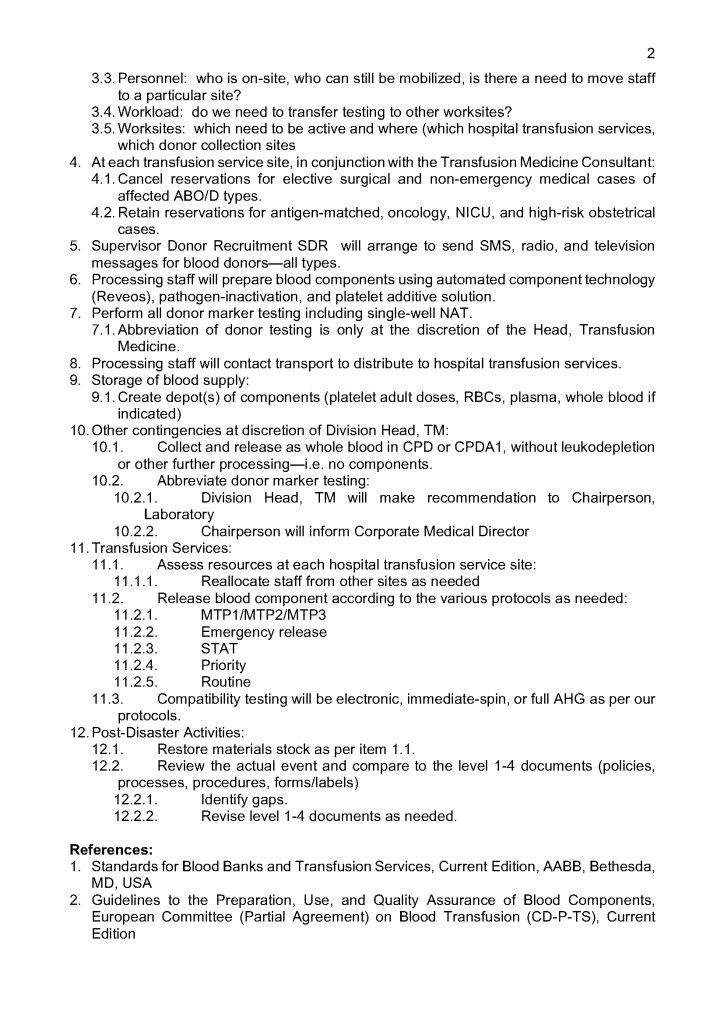
Emergency Interim Procedure:

  1. Verify the patient’s diagnosis/location:  All Hematology-Oncology patients should receive irradiated blood.  Refer to the list of diagnoses for which irradiation is indicated (attached).
  2. Only PRBCs need to be irradiated.  Mirasol-treated (pathogen-inactivated) platelets can be used directly without irradiation in accordance to Council of Europe CE regulations.
  3. Attach radiation indicator labels to the selected units as per the irradiation procedure.
  4. Send the units for irradiation to the Radiation Oncology department.
  5.  Verify that the proper dose of irradiation was received while in the Radiation-Oncology department.
  6. Keep a minimum stock of 20 group O-positive units irradiated at the start of each day AND before the start of the weekend on Thursday afternoon.  Irradiate that number of group O-positive units plus any other specific requests for blood.
  7. You should use the irradiated units for crossmatching.  DO NOT CROSSMATCH FIRST BEFORE IRRADIATING!!  If the antibody screen is positive, refer the specimen to the Transfusion Service for further processing and selection of units.
    1. Note:  If a special antigen typing is needed, we may have to irradiate after selecting the antigen-matched unit if it is not found in the group of irradiated units.
  8. If a unit is required for a child < 20 kg, it must be washed before release if the unit was irradiated more than 24 hours previously according to our irradiation policy.

My Ten Years of Experience with Mirasol

I originally adopted this technology because of the plethora of new emerging pathogens.  In addition, I have been concerned about unknown pathogens that have not yet been discovered.  It is not what we know, it is what we don’t know that bothered me.

It is now 10 years since I started using riboflavin-based pathogen inactivation.  Our adoption of the technology was as follows:

  • 2010 pooled buffy coat and apheresis platelets, both suspended in plasma
  • 2012 whole-blood derived plasma and apheresis plasma
  • 2015 pooled buffy coat and apheresis platelets, both suspended in platelet additive solution PAS

Buffy coat platelet pools and whole-blood-derived plasma were both prepared with automated blood component technology, originally with the Terumo Atreus and later with Terumo Reveos system.  We were the first site worldwide to use automated production with the Mirasol system.

After 10 years and over 300,000 donor collections, no documented infectious agent transmission has been noted.  Our average platelet loss has been 4%.  There has been no increase in adverse reactions to plasma or platelets compared the time before we adopted these technologies.  Physicians accepted the products readily.

Mirasol adoption allowed us to discontinue irradiation of platelets and extend our outdate to 7 days.  We did not need a specific bacterial detection system.  Pending regulations in the USA will require stringent bacterial detection processes that are not necessary if a pathogen-inactivation system is being used.

Terumo sent its own engineers to set up and validate the system.  They also trained all the staff in the actual pathogen-inactivation processes and helped us to perform the validations.

When adopting pathogen inactivation, we compared Mirasol with its competitor and selected it for the following reasons:

  • Loss of platelets is low (about 4%)—lower than its competitor product.
  • There is no need to remove the riboflavin from the final product.

In our system, our goal was rapid processing of units.   With Mirasol, we did not have remove the riboflavin from the final product.  The competitor product requires at least 6 hours post-treatment to remove the psoralen agent.  We could immediately use the Mirasol product after treatment!

In our Reveos-Mirasol system, we can process whole blood into packed red cells in SAGM, buffy coat platelets, and plasma in a total of 5 hours including all testing with Mirasol treatment and platelet additive solution PAS.

We originally used the system manually, but in 2013, Terumo in conjunction with Medinfo Hematos IIG developed an interface to the Mirasol illuminator.  The latter device would transmit the successful completion of the illumination to the software.  Any errors in the illumination would block release of the blood component from Medinfo.  Medinfo also monitored the component volumes to prevent treatment of units outside Terumo’s recommendation ranges.

Adoption of platelet additive solution PAS gives us a final product with minimal residual plasma which potentially can reduce plasma reactions and TRALI/TACO.  It also minimizes our need to reduce the volume of platelet components for pediatric patients, especially in cases with ABO-incompatible plasma

Adopting any system of pathogen inactivation requires meticulous monitoring of component volumes to ensure they are within the range for the treatment.  The use of a blood bank software greatly facilitates this.

We make both buffy coat and apheresis platelets. The change from plasma-suspended to PAS-suspended platelets went smoothly.  Special training for Trima apheresis staff to use the new processes was provided by Terumo.

Throughout this time interval, Terumo has provided excellent technical support and educational activities for all staff.  Despite the COVID pandemic, Terumo has been able to deliver supplies to meet our needs so there was no interruption in production.

We started COVID convalescent plasma CCP production at the end of winter 2020.  We set up a parallel but separate quarantine system of collection and processing, originally manual but later controlled by the dedicated blood bank software Medinfo Hematos IIG.  All CCP units have been treated with Mirasol.

In the future, I hope Mirasol will close the loop by providing a pathogen-inactivation process for red blood cells so all components can be treated.  The CE mark for pathogen inactivation of whole blood is exciting and I hope that component preparation from this product will be offered.

In summary, our blood bank system had an excellent, synergistic relationship with Terumo and Medinfo to provide the highest quality product that is currently licensed.  I hope we will all continue to work together to improve the patient care.

Donor Deferrals for Transfusion of Blood Components, Body Fluid Exposure, Tattoos, Body Piercing, and Hijama

Principle: 

This is an updated set of donor deferral rules based on US FDA CBER guidances for body fluid exposures, blood components, and exposure to COVID-19 convalescent plasma CCP.

Policy:

  1. We will accept donors AFTER THREE MONTHS from the following activities:
    1. HIJAMA (ritual blood-letting)
    2. Tattooing
    3. Body piercing (e.g. piercing for ear-rings)
    4. Contact with blood of another individual through percutaneous inoculation such as a needle stick or through contact with a donor’s open wound or mucous membranes
    5. Transfusion of a blood component, including COVID-19 convalescent plasma
  2. Transfusion of clotting factors cases should be reviewed by the Transfusion Medicine Physician.

References:

  1. Revised Recommendations for Reducing the Risk of Human Immunodeficiency Virus Transmission by Blood and Blood Products, Guidance for Industry,  U.S. Department of Health and Human Services, Food and Drug Administration, Center for Biologics Evaluation and Research, April 2020
  2. Updated Information for Blood Establishments Regarding the COVID-19 Pandemic and Blood Transfusion, CBER, US FDA, 19/1/21
  3. AABB Summary:  Donation of CCP and Blood Components Following COVID-19 Vaccines or CCP Transfusion, 14/12/20

Nonspecific Reactions due to Reagents Near Expiration Date

This is an updated version of a previous post.

Whenever I had a “nonspecific” antibody, I had to first rule out issues with the reagents themselves. The following example shows weak to 2+ reactions in the panel cells and autocontrol.

The variability in the reactions made me initially uncomfortable about called this WAIHA. I then checked the panel details: the testing was done only six days before the panel outdate.

I told my staff to repeat the workup with the new panel expiring five weeks later. The difference is astounding!!

Remember:  if you work in the Middle East, the environmental conditions can be extreme in summer (>50C).  Do you know how your reagents were handling during transport?

My advice: if you are concerned there is a clinically significant antibody but cannot confirm it, consider repeating the workup using fresh reagents and a fresh specimen. Repeating the workup after a few days may make the detection clearer.

Original Panel with Near Expiry Reagents:

Test performed 7/2/06, reagents expire 13/2/06:

Same Patient with New Reagents and New Sample:

Test Performed 14/2/06, reagents expire 20/306:

Operational Effects of the COVID Pandemic–My Experience in Qatar

The COVID-19 pandemic imposed new challenges to our system.  In general, these could be divided into:

  1. Decreased donors
  2. COVID vaccine effects
  3. Decreased available staff
  4. Shortages of supplies
  5. More demands on donor apheresis staff—CCP
  6. More demands on donor processing staff—CCP
  7. More demands on hospital transfusion service/blood bank staff—CCP

There were fewer donors in the early phase and the nurses also had to add a large number of donor plasmapheresis collections for COVID convalescent plasma CCP.  Still they had to maintain all donor and therapeutic apheresis services with no increase in staff.  Although elective procedures had been cancelled, there were still obstetrical, oncologic, and trauma services in full action.

Many of our staff were on leave when the borders were closed.  Some had to wait months before they could return to work.  Others had COVID-19 infection and were quarantined for several weeks.  This further reduced staffing.  We could not just hire outside staff since considerable training is involved in these processes.

I dedicated a separate donor collection space for the CCP program away from the regular donors as well as a quarantine processing area.  Similarly, the CCP plasma was kept segregated from the regular plasma supply and a specially designed location was identified for release of this product.  Working for this program diverted resources from blood collection to this special project, again without increasing resources.

With disruptions to shipments of supplies, including the Reveos whole blood kits and Trima donor apheresis sets, we had to rely on our large in-home inventory until the situation stabilized.  We prescreened the CCP donor candidates before we would collect them to avoid wastage of kits.

Fortunately, our throughput was minimally affected because our equipment and processes had always stressed speed.  We used single-well NAT testing to minimize the need of additional runs.  Also, we used Reveos automated component processing to greatly speed production (one Reveos can process four whole blood units in about 23 minutes or about 12 units in 75 minutes.)  One technologist could operate all 4 of our machines simultaneously and perform other tasks while the machines were working.

In the system I developed in Qatar, we could complete processing into components (RBCs, buffy coat platelet pools, leukodepleted plasma), all marker and immunohematology testing, leukoreduction of the pools and RBCs, Mirasol pathogen inactivation, and platelet additive solution in as little as five hours.

In rapid turn-around events, it is most helpful to have a robust blood bank computer system that can scale to the challenge.  Also, it must mercilessly enforce all the rules starting with donor qualification, screening, collection through testing and production.  At times of emergency, it is difficult to meet Good Manufacturing Processes manually.

I had built parallel separate donor collection, donor processing, and transfusion service/hospital blood bank processes specifically for CCP and had to staff them with available personnel, limited our capability to process regular donors.  The blood bank computer software restricted CCP use to designated physicians and transfusing locations.  For those interested, there is a separate series of posts about the CCP project and its implementation in the dedicated blood bank Medinfo HIIG.

COVID-19 vaccinations should have minimal effect in donor qualification since mRNA or antigen-based ones do not cause donor deferral.  Live attenuated COVID vaccines will defer donors for 2 weeks by current rules—the same as other live vaccines.  Donors who had previously received CCP will be deferred for three (3) months after last receiving this product.

In summary, the COVID pandemic reduced staffing and affected donor recruitment.  We had production mitigations to maximize throughput.  The system was stressed by the reduced staffing and special demands to produce CCP.  However, the extent of our automation allowed us to maintain throughput throughout the crisis.

Rare Jka Antibody

This is a repost of this rare antibody with a few new additional comments.

This is a rare anti-Jka antibody that only reacts with polyspecific AHG and only in homozygous Jka+ cell.  In the past three decades, I have only seen three of these.

Almost all anti-Jka and anti-Jkb antibodies can be detected using heavy-chain gamma specific AHG.  I prefer to use this reagent since it minimizes interference from cold antibodies.

Whenever you have a nonspecific antibody, never discount the possibility of a Kidd antibody.  Consider doing extended phenotyping and include Jka and Jkb typing and always check for dosage effect.  I have a specific post on my approach to nonspecific antibodies.

Select antibody screening cells including homozygous Jka+ and homozygous Jkb+.  This usually requires a three-cell screen.

Never forget that a negative result only means not-detected.  If there is other evidence for hemolysis, consider performing additional studies.