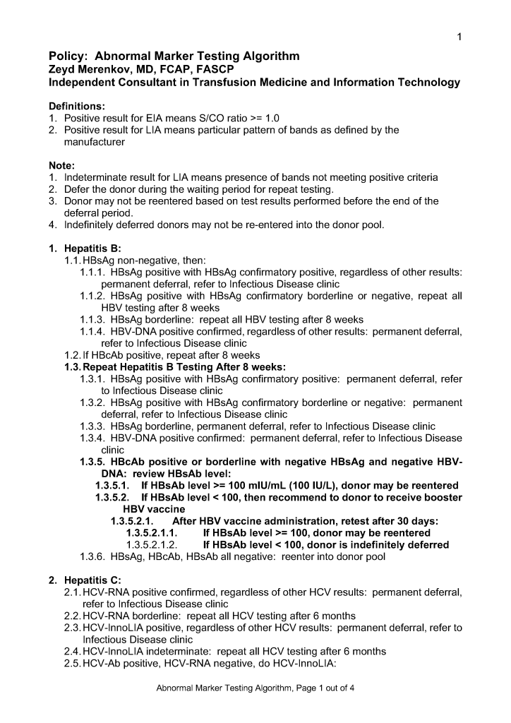
In my experience in the Middle East, not all staff have external credentials. Often there are high-level technical staff assuming roles that would not be permitted to them if they lacked such qualifications in other countries. How do you have your uncredentialed staff assess someone with an internationally recognized qualification? How can you minimize bias in the process? This is my approach.


















